
1. 1 設計階段
(1) 制定行業規劃。根據國家和地區中長期發展規劃及產業政策,結合行業自身特點和發展規律,由政府主管部門或行業協會牽頭制定行業規劃。(2) 編制項目建議書。提出項目的輪廓設想,重點論證項目建設的必要性、目標、主要技術原則、建設條件和經濟效益等,為項目的決策提供初步的依據,也是報主管部門批準立項和列入計劃的依據。(3) 撰寫可行性研究報告。根據國家和地區行業發展規劃及產業政策,論證該項目的市場需求、關鍵技術、主要配套措施及投資效益和社會效益,以呈報主管部門核準或備案。(1) 初步設計。對工程項目分車間和部門進行初步設計。初步設計階段的任務是:根據生產綱領和總體設計的要求,對車間的生產工藝、設備、人員、部門設置、物料需求和流動、設備布置等進行設計,計算工藝投資,并對車間建筑、結構、供電、供水、動力、采暖通風和環境治理等提出設計要求,保證設計的完整和協調。工藝部分初步設計的內容如下:(8) 繪制工藝設備平面布置圖、剖面圖,編制設備明細表、計算工藝投資。(10) 向土建、公用、總圖、環保、節能、技經等專業提出設計任務資料。
1.3 施工設計
施工設計是將初步設計進一步深化和具體化,以滿足施工、安裝、調試和驗收的要求。施工設計的內容如下:(1) 確定設備型號、規格、數量及其在車間的布置和詳細的安裝尺寸。(3) 提出廠房、構筑物和公用專業(采暖、通風、給排、動力、電氣、安全環保等)施工設計的工藝要求、圖樣和說明。(4) 確定車間設備的基礎和地下構筑物的結構、尺寸等。

2 熱處理車間分類和特殊性
2.1 熱處理車間分類
(1) 原材料及毛坯熱處理車間(或稱第一熱處理車間):承擔鍛件、鑄件毛坯熱處理任務,主要實施退火、正火、調質等預備熱處理工藝。這類車間也可附設在鍛造、鑄造等車間內。(2) 半成品及成品熱處理車間(或稱第二熱處理車間):承擔產品最終的熱處理任務,主要實施淬火、回火、滲碳、感應加熱淬火等熱處理,以達到產品最終技術要求。這類車間常獨立設置,與機加工車間相鄰或設在機加工車間內。(3) 工具及機修件熱處理車間:一般承擔自制工具及機修件的毛坯熱處理和最終熱處理。(1) 小型熱處理車間:熱處理件年生產綱領≤1000t;(2) 中型熱處理車間:熱處理件年生產綱領為1000~3000t;(3) 大型熱處理車間:熱處理件年生產綱領>3000t;(4) 重型熱處理車間:重型、礦山機器廠等重型工廠熱處理車間。
2.2 熱處理車間生產的特殊性
(1) 熱處理件的品種多和技術要求變化大,需檢測的項目多,如金相組織、硬度、滲層深度等。
3 熱處理車間生產任務和生產綱領
根據項目設計規定的產品產量和分工,確定熱處理車間承擔的生產任務。
3.2 生產綱領
生產綱領是指車間承擔的熱處理件的年生產量,是根據項目產品產量以及單臺
產品熱處理件數量、重量和零件熱處理工藝要求,同時結合產品特點、企業生產工藝水平確定的備(廢)品率計算出產品熱處理綱領,然后加上輔助專業提出的工具機修件數量(有協入件的熱處理車間還要加上協入件數量)綜合編制而成的。它決定了車間的規模,是確定工藝和選擇設備的依據。熱處理車間綱領以年生產重量(t/a即噸/年)表示,個別工藝如高、中頻感應加熱表面淬火件以年生產件數(件/a即件/年) 表示。在編制綱領表時,應將零件及工具、機修件等熱處理綱領分別列出,見表1 。
▼表1 熱處理生產綱領表

3.3 工序綱領
根據產品零件的熱處理工藝要求,按工序分類統計計算。
3.4 輔助生產綱領
自制工具、機修件的熱處理生產綱領,應由工具和機修車間的規模確定。

4 車間工作制度及年時基數
4.1 工作制度
熱處理車間的工作制度,應根據車間的規模、生產特點、工藝水平和類型區別對待,合理確定,以達到充分利用設備、節約能源、便于組織生產的目的。一般中小件的綜合熱處理車間或工段,高、中頻感應加熱熱處理工段,采用二班制;部分生產周期長的,如滲碳淬火、碳氮共滲、滲氮等設備及連續生產線宜采用二班制或三班制。大型零件熱處理車間及大量生產的熱處理車間采用三班工作制。有的車間或設備雙休日不停產,采用連續工作制。在加工流水線上的熱處理設備所采用的工作制度,應與整個流水線的生產班次相適應。小型熱處理工段,由于任務量小,負荷低,且無就近協作可能的,可采用一班制。個別設備采用二班或三班制。
4.2 年時基數
設備設計年時基數為設備在全年內的總工時數,等于在全年工作日內應工作的時數減去各種時間損失,見表2。

▼表3 熱處理車間工人設計年時基數


5 工藝設計
5.1 工藝設計的基本原則
熱處理工藝設計是熱處理車間設計的中心環節,是設備選擇的主要依據。熱處理車間工藝設計的基本原則如下:(1) 符合國家和項目所在地的行業發展規劃和產業政策要求。(2) 在滿足產品技術要求的前提下,選擇的工藝設備技術先進、安全可靠、經濟合理。(3) 積極推廣應用少、無氧化熱處理工藝,如可控氣氛熱處理、真空熱處理及感應熱處理工藝。(4) 積極穩妥地應用新工藝、新設備、新材料、新結構及復合表面處理工藝。(5) 應用清潔或少污染熱處理技術,減少和防止環境污染,改善操作環境。(7) 提高機械化、自動化程度,充分提高設備利用率,提高勞動生產率,減輕工人勞動強度。(8) 在滿足正常使用和安全間距的前提下,設備布置盡量緊湊,以縮短物流距離,節約廠房用地。(9) 應用計算機控制技術,實現工藝參數、 工藝過程及產品的自動檢測、控制與管理。
5.2 工藝設計的內容
(1) 分析產品零件的工作條件、失效形態和技術條件。(2) 制定熱處理零件在工廠生產過程中的加工路線,確定熱處理工序在其中的位置。
5.3 零件技術要求的分析
零件技術要求是產品零件設計者通過對產品零件的服役條件和失效分析而制定的。從原則上講,熱處理工作者只需以技術要求作為依據來選擇和制定熱處理工藝,但經常由于設計圖樣標明的技術要求過于籠統,使熱處理工藝制定發生失誤。例如,產品圖樣上標注硬度要求,但有不同的熱處理方法可產生相同的硬度值和抗拉強度,而其沖擊韌度卻差別很大。有時不正確的熱處理雖可產生要求的性能指標,但可能產生不適應使用條件要求的組織。因此,在工藝設計時,應根據產品零件的工作條件和主要的失效形態,優化熱處理工藝,以滿足零件實際使用要求。
5.4 零件加工路線和熱處理工序的設置
零件加工路線是零件從毛坯生產、加工處理到裝配成產品所經過的整個加工過程。零件的加工路線是工廠生產組織的基礎。它涉及零件加工制造的總體方案、工序的組合和工序間的配合。常規零件加工路線中熱處理工序的設置如下:(1) 鑄鐵、鑄鋼、非鐵金屬鑄件,要求毛坯熱處理。其工藝包括正火、均勻化退火、等溫退火、球化退化、可鍛化退火,再結晶退火、消除內應力退火及人工時效(穩定化處理)等,可于鑄造后在鑄造車間進行。(2)硬度要求在285HBW (30HRC) 以下的一般鍛件,可在機械加工前熱處理到要求的硬度。但是,當機加工量較大有可能因加工而去掉較多的熱處理硬化層時,為保證足夠的硬化層,應在粗加工后進行熱處理。(3) 表面硬化和化學熱處理工序,一般應在機加工后進行,熱處理后盡可能不再加工,或僅進行精加工,以保留硬化層和滲層壓應力狀態。一些精度要求高,可使用特殊刀具加工的零件,也可在加工前熱處理。(4) 局部化學熱處理零件,當生產量大時,非處理的部分應用鍍層或涂層保護;當批量小時,可采用機械保護或加工去除滲層等方法。(5) 零件冷拔、冷鐓、冷擠前后應進行去應力退火、再結晶退火、正火等熱處理工序。(6) 彈簧鋼絲冷繞制后應進行回火處理。熱繞制的彈簧應進行淬火和回火。(8) 模具和刀具在毛坯鍛造后應進行球化退火處理。
5.5 熱處理工藝方案的制訂
通常應根據產品的技術要求,提出幾種可靠的熱處理工藝方案進行對比性論證,選擇出最佳的工藝方案來。一般論證的主要內容如下:(1) 對產品零件技術要求的適應性、工藝的先進性和可靠性、熱處理質量的穩定性。
5.6 熱處理工序生產綱領的計算
熱處理工序生產綱領(退火、正火、滲碳等)是根據車間生產任務和熱處理工藝過程統計出來的。它是計算熱處理設備數量的依據。零件熱處理工序生產綱領的計算見表4。


6 熱處理設備的選型與計算
設備選擇的基本原則是質量安全可靠,能生產出優質的產品,高的生產效率,低的生產成本和良好的作業環境。
6.1 熱處理設備選型的依據
(8) 企業及車間的自動化、機械化、現代物流和現代管理要求。
6.2 熱處理設備選型的原則
1. 少品種大批量生產的熱處理設備的選型對于少品種批量熱處理件的生產,應根據工藝要求,優先考慮組建各類全自動熱處理生產線,選用安全可靠、生產率高、運行成本低的連續式熱處理設備。2. 批量生產的熱處理設備的選型 對于批量熱處理件的生產,原則上應以連續式熱處理生產線為主;但由于熱處理件的品種規格較多,工藝和生產量常需調整,因此所選設備應便于工藝和生產調整。3. 多品種單件生產的熱處理設備的選型對于多品種單件熱處理件的生產,宜采用周期式熱處理設備,或以周期式熱處理設備組建局部機械化、自動化聯動線的方式。
6.3 熱處理設備的選型
選擇熱處理爐型時,應根據熱處理件特點、工藝要求和批量,合理選擇爐型。以下是幾種常用的爐型選擇:(1) 汽車齒輪類滲碳零件,大批量生產時,一般選用推桿式連續滲碳淬火自動線;中批量生產時,選用密封箱式爐組成聯動線;小批量生產時,應優先選用密封箱式爐完成滲碳淬火,盡量避免使用井式滲碳爐,以避免工件在空氣介質中入油淬火帶來的表面氧化脫碳。(2) 軸承類零件,根據零件大小,一般選用輥底式爐、鑄鏈式爐、推桿式爐或網帶式爐組。成自動生產線;而滾珠多選用鼓形爐組成的自動生產線。(3) 長軸件,大批量時,選用輥底式爐生產線(也可選用感應加熱淬火回火自動生產線);小批量時,選用井式爐或臺車爐。(5) 中小標準件,選用鑄鏈爐、網帶式爐、振底爐。(6) 工具、模具、刃具,優先選用真空爐,也可選用流態粒子爐、鹽浴爐。(7) 鋼帶等退火件,推廣應用保護氣氛罩式爐、井式爐和箱式爐。熱處理爐生產率是指某熱處理爐在1h 內可完成某熱處理工序零件的重量,即kg/h。它與爐型、功率、爐膛尺寸、工藝類型、零件裝夾方式等因素有關。幾種爐型單位爐底面積的平均生產率見表5。平均生產率是指熱處理爐在一般正常生產條件下所達到的生產率。熱處理爐產品樣本所標出的生產率數值,通常是指該設備可能完成的最大生產率。車間設計時,應根據零件或代表產品實際排料計算設備的平均生產率。幾種典型設備的平均生產率按如下方法計算:

(2)推桿式爐的平均生產率P:

(3)傳傳送帶式爐的平均生產率P:

(1) 頻率選擇。感應加熱所需電流頻率,取決于產品零件對淬硬層深度的要求。表6為感應加熱電流透入深度與淬硬層深度的合理頻率范圍。

P0-單位功率(kW/cm2) 。
S-加熱表面積(c㎡) ;
η-設備效率,η=η1×η2 (η1為感應器效率,η2淬火變壓器效率)
通常涉及所指單位功率為額定功率,表7 為單位功率的檢驗數值。常用感應淬火設備的效率見表8。


根據表7 所列數據,對某些功率的感應加熱設備可同時加熱的面積如表9和表10所示。

▼表10 高頻電源科同時加熱面積參考指標

(3) 設備生產率,感應加熱設備生產率差異很大,根據生產統計資料,感應加熱設備生產率參考指標如表11 所示。

過去采用的效率較低的中頻發電機多被淘汰,代之以頻率達 1kHz的晶體管電源;目前,又有IGBT (絕緣柵雙極型晶體管)電源大量出現,已部分取代前者用于工業生產。最大的IGBT 電源已達600kW、100kHz的電源商品生產。

4. 輔助設備的選擇
(1) 可控氣氛發生裝置。應根據熱處理工藝及項目所在地供應條件選擇。隨著現代可控氣氛檢測和控制技術的發展,應盡量采用爐內直生式氣氛。



實際為便于制造和操作方便,一般淬火水槽與淬火油槽尺寸相同。以上計算的容積還需考慮淬火液溫度升高的體積膨脹及淬火工件的體積。
循環油量容積按下式計算:
集油槽的容積(m3) : V2= (V1 +全車間循環淬火油槽總容積)×1.2 (3) 清洗設備。清洗設備有連續式、室式、槽式等清洗機和清洗槽。多數清洗機是與加熱淬火設備配套使用的,作前清洗或后清洗用。應根據多數熱處理件的批量和加熱淬火爐的操作方式選擇。(4) 清理及強化設備。清理及強化設備主要用于清理零件熱處理后表面的氧化皮或進行表面強化用。該設備(如噴丸機、酸洗槽、清理滾筒)多有粉塵、酸氣、噪聲等污染環境物,因此,多數獨立設置。可按處理量計算所需的設備量。(5) 校直設備。熱處理后的彎曲工件需要用手動或機械校直。小型零件用手動螺旋壓床或齒條壓床,中型、大型零件用液壓機。一般零件所需校直機的參數見表13。

(6) 起重運輸設備。起重運輸設備應根據設備安裝、修理、工藝所需起吊運輸最大重量以及工藝平面布置確定,起重運輸設備的適用范圍及選擇原則見表14。

考慮到空中布置管線便于工藝設備調整和降低廠房造價,熱處理車間總的發展趨勢是盡量取消行車。

6.4 設備需要量的計算
設備需要量可根據熱處理工序生產綱領和設備生產能力計算出設備年負荷時數,再計算出設備需要量。
式中 Q-該設備年需完成的生產量(kg/年);
p-該設備的生產率(kg/h) .
式中 F--每臺設備設計年時基數(h) 。計算的C值,一般不是整數,取整數為C′。
熱處理車間設備的計算見表15。
▼表15 退出了車間設備計算表

合理的設備負荷率一般規定為,三班制為75%~80%, 二班制為80%~90%。由于我國熱處理設備的可靠性普遍提高,為充分利用設備,設備負荷率可提高到80%以上。
7 車間位置與設備平面布置
7.1 總平面布置
熱處理車間產生有害氣體,如蒸汽、油煙、粉塵等,應位于機加工、裝配等車間的下風向(按項目建設地主導風向)。一般車間考慮采光、自然通風要求的間距要滿足消防、環保等現行規范的要求,同時應≥10m。近年隨著鋼結構廠房的推廣應用,對少、無污染的熱處理車間也可與機加工、裝配車間組建成聯合廠房。熱處理車間應與鍛造車間、鐵路等保持一定的防振間距,或采取相應的隔振措施。防振間距見表16。


(1) 考慮日曬的影響,熱處理車間盡可能采用南北向。(3) 應在鍋爐房,鑄、鍛、電鍍車間及大量產生灰塵和廢氣場所的上風向。(5) 應盡量靠近聯系密切的車間布置,以縮短零件運輸距離。(6) 應根據企業規模和發展需要,考慮適當的發展余地。(2) 熱處理車間至少有一面靠外墻,車間縱向、天窗與主導風向垂直,以利通風。(4) 外部有布置室外設施(如循環水池、油池等)的場地和空間。
7.2 車間平面布置
(1) 車間內的設備布置、工藝流程、車間進出口及通道位置等,應根據企業運輸路線及與鄰近車間的關系來設計。(2) 大型連續式設備及機組的布置,一般應盡量布置在同一跨度內,有利于使用起重運輸設備。(3) 如車間只有一面靠外墻時,大型設備應盡量靠內墻布置,以利采光和通風。(4) 設備布置應符合工藝流程的需要,零件的流向應盡可能由入料端流向出料端,避免交叉和往返運輸。(5) 在工藝流程基本順暢的情況下,可按設備類型分區布置。(6) 設備應盡量排列整齊,箱式爐以爐口取齊,井式爐以中心線取齊。(7) 應考慮半成品、成品存放地和滲碳件、回火件存放地,以及夾具、吊筐等堆放面積。(8) 車間內隔間應盡量集中布置,噴砂應盡量靠外墻。(10) 需要起重運輸工具的設備,應布置于起重機的有效范圍內。(11) 需局部通風的設備應靠外或靠近柱子布置,以利風管的引出。(12) 車間應留出必要的通道,通道的寬度一般為2~3m,一般箱式爐:1~1.2m。后端有燒嘴的燃氣爐和燃油爐:1.2~1.5m。
可控氣氛爐應留出輻射管取出的距離。
(2) 爐子之間的距離(一般是爐子外殼間的距離,燃氣爐和燃油爐應為兩爐外側管道間的距離)如下:(4) 連續式爐的爐前、爐后通道及零件堆地的距離如下:鍛件熱處理連續爐:爐前6~8m, 爐后8~12m。(5) 爐子與淬火槽的距離如下:一般爐子:1.5~2.0m。

車間平面布置圖中所用的圖樣、圖例可參考表17所示樣式。
▼表17 熱處理車間布置圖常用圖例



(2) 拖拉機零件熱處理車間工藝平面布置如圖2所示。(3) 重型柴油機廠部件熱處理車間工藝平面布置如圖3所示。(4) 重型柴油機廠大件熱處理車間工藝平面布置如圖4所示。(5) 工程機械可控氣氛熱處理車間工藝平面布置如圖5所示。

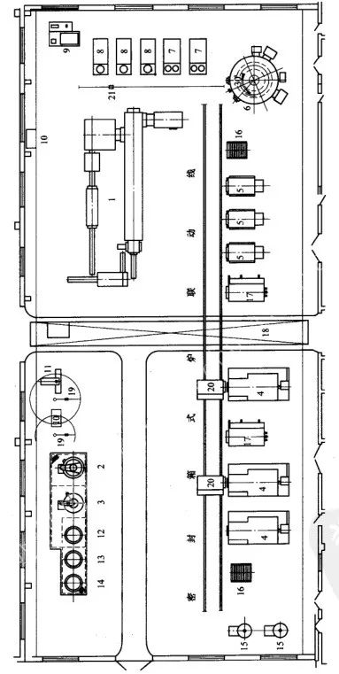
▲圖1 齒輪熱處理車間工藝平面布置圖
1一連續式氣體滲碳淬火回火自動線 2一井式回火電阻爐 3-井式滲碳爐 4一密封箱式爐 5-一箱式同火爐 6-轉底式光亮淬火爐 7一芯軸淬火裝置 8一鋅火壓床 9-循環油植 10一檢驗平臺 11一校直機 12一淬火油槽 13一堿洗槽 14一清洗槽 15一吸熱式氣氛發生器16一備料臺 17一清洗機 18一橋式起重機 19一平衡吊 20一推拉料小車 21-手動單軌吊車
1一箱式電阻爐 2一停火機床 3一井式回火電阻爐 4一中額摔火回火自動線 5一臺車式電阻爐 6-實驗電阻爐 7一描丸機 8-清淀機 9一校直機10一摩擦壓力機 11一水檀 12-癢火池糖 13一循環水槽 14一中頓感應加熱裝置15-體火水槽 16一冷卻水槽 17一工具模床 18一砂輪機19-電焊機 20-油槽 21一橋式起重機 22一旅拉料小車 23一播臂吊架 24一平衡吊 25一平板車 26-硬度計1-上下料臺 2一多用爐 3一箱式間火爐 4一清洗機 5一運料小車 6一淬火機床 7一高頻加熱裝置 8一低溫冰箱 9一真空粹火爐 10一干燥箱11一輝光離子濾氨爐 12一機床 13一橋式起重機 14一校直機 15一井式回火電爐 16一冷卻水槽 17一拋丸機 18一懸骨起重機19-磁粉探傷機 20一鹽浴爐 21-確鹽爐 22一淋火精 23一箱式電照爐 24一臺車式電肌爐


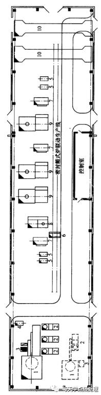
▲圖4 重型柴油機廠大件熱處理車間工藝平面布置
1一井式萍火爐 2一井式粹火椿 3一井式回火爐 4一井式去應力爐 5一井式滲氮爐 6一翻轉架 7一橋式起重機8一校直機 9-空壓機 10一制氨機 11-砂輪機 12-津火楠
1一轉底式加熱爐 2一淬火壓床 3一淬火油槽 4一液壓機 5一上下料臺 6一運料小車 7-箱式回火爐 8一清洗機 9一多用爐 10一行車
▲圖6 曲軸熱處理車間工藝平面布置
1-井式氣體滲碳爐 2-臺車式電阻爐 3-CO2氣瓶 4-檢驗平臺 5-行車
1. 車間面積
(1) 生產面積指各主要工序、輔助工序及與生產、輔助工序有關的操作所占的面積。如加熱爐、加熱裝置、淬火槽等本身所占用的面積,操作所需的面積及工人在操作時所需的通道面積均屬于生產面積。校直、檢驗所占用面積也算在生產面積內。生產面積約占車間總面積的70%~80%。(2) 輔助面積指服務于生產而不參與主要工作和輔助工作的機構。包括車間配電室、變頻間、電容器間、檢驗室、車間試驗室、保護氣氛制備間、機修間、儀表間、通風機室、油循環冷卻室、輔料庫、主要通道、地下室及車間辦公室、生活間等所占用的面積。輔助面積約占車間總面積的20%~30%。(1) 各類熱處理車間面積指標。各類熱處理車間每平方米總面積生產指標,如表18所示。
▼表18 熱處理車間每平方米總面積生產指標

(2) 熱處理設備面積指標。各類熱處理設備所占車間面積指標如表19所示。
▼表14-19 各類熱處理設備所占車間面積指標


生產任務依下式計算:


8 熱處理車間建筑物與構筑物
8.1 對建筑物的要求
(1) 防火要求。根據 GB 50016-2006《建筑設計防火規范》的規定,熱處理生產在火災危險分類中屬“丁”類,廠房的耐火等級通常為二級。要求建筑物的墻、隔墻、地面、頂棚等必須耐火,通常為鋼筋混凝土或鋼結構。(2) 防爆要求。對于用液體、氣體作為燃料或可控氣氛原料的熱處理車間,需采取必要的防爆措施和泄壓面積,且泄壓面積的設置應避開人員集中的場所和主要通道。(3) 通風要求。熱處理車間存在油煙、蒸汽、熱氣、有害健康的氣體及粉塵等,因此要求采光充足,自然通風良好。廠房最好是獨立建筑,至少有一長邊靠外墻,每跨廠房最好有天窗(氣樓)。
8.2 廠房建筑參數
它是一種選定作為統一與協調各種建筑尺寸的基本標準尺度單位。我國規定
建筑的基本模數為100mm, 以M0表示。
(1) 廠房平面柱網和柱距。廠房平面柱網是廠房縱橫坐標的定位軸線。廠房柱距一般采用6m或6m的倍數。鋼結構廠房可適當加大,一般為6~9m, 在起重機起重量不大時,鋼結構廠房的柱距在7.5m較經濟。(2) 跨度。廠房跨度≤18m時,應采用3m (30M0) 的倍數;廠房跨度≥18m時,應采用6m (60M0) 的倍數。(3) 熱處理車間柱距與跨度選擇。廠房的跨度和柱距取決于生產規模、設備類型和平面布置。當采用鋼結構廠房時,其跨度和柱距可根據工藝需要,由結構專業人員做出技術經濟比較后確定。廠房高度是指屋架下弦(或屋蓋結構件的最低點)以及起重機軌頂距車間
室內地面的高度,分別以屋架下弦底面標高和軌頂標高表示(室內地面標高為±0. 000) 。自地面至柱頂和自地面至支承起重機梁的牛腿面的高度均應為300mm的倍數,自地面至起重機軌頂高應為600mm的倍數。工藝設計通常只提出起重機軌頂的高度要求,此高度可用下式表示:
式中H1 -起重機軌頂面的高度(mm) ;
h1-車間內設備,隔墻或檢修工件的高度(以多數設備高度為基準)(mm) ;
h2-一運行時吊運件距生產設備的安全操 作距離,一般≥500mm;
h3 -最大加工件或設備檢修時最大件高度(mm) ;
h4-吊鉤與吊運件之間的繩索距離(mm) ;
h5 -吊鉤與起重機軌頂面的最小距離(mm) 。
式中 H-屋架下弦的高度(mm) ;
H1-起重機軌頂面的高度(mm) ;
h6-軌面至起重機頂面尺寸(mm) , 由起重機規格表中查得;
h7 -屋架下弦至起重機頂面間安全間隙(mm) ,h7≥220mm。
熱處理車間廠房的高度取決于產品的工藝需要和設備類型。井式爐應盡可能置于地坑內,以降低廠房高度。在通常情況下,廠房高度的確定,可參考表20。

門洞設計要滿足生產、消防安全、人流疏散及建筑模數等要求。門按制作材料分類,有木門、鋼門;按開啟形式分類,有平開門、推拉門、折疊門、升降門、卷簾門、翻轉門等。對要求高的企業,還可采用感應遙控門。門洞的凈寬應大于運輸工具、產品、設備等寬度600mm 以上,洞口凈高應大于運輸工具、產品、設備等高度300mm以上。對一些特大型設備的出入,可以預留門洞,待設備進人后再封墻。各種大門一律向外開。廠房較長時,需在車間兩端或中部開門。常用車輛與門洞尺寸的關系,如表21 所示。

窗的尺寸一般為300mm 的倍數,也可設計成帶形窗,具體由建筑專業人員確
定。
熱處理車間內除一般生產區外,有時還設有高頻間、中頻間、噴砂間、噴丸間、檢驗室、儀表間、辦公及輔料庫等。為隔斷粉塵、有害氣體的侵人和降低噪聲危害,必須隔斷及封頂。隔斷面積的大小按工藝需要決定,最好以柱距為基準。一般采用磚墻隔斷。
封頂高度主要視設備及起重設備的高度決定。噴砂間等通常采用4.5m, 檢驗室、儀表間、辦公室通常采用3.6m。
(1) 位置:高頻間及中頻間應單獨設置,其位置應放在車間的上風向和非發展方向的一端,遠離油煙、灰塵和振動較大的設備。(3) 封頂及隔斷:高頻間的封頂高度不低于4.5m, 中頻發電機室的封頂高度一般為5.5~6.0m, 具體視設備大小和單軌軌頂高確定。(4) 門窗:應設置足夠的窗戶,以利采光及自然通風。高頻間及中頻發電機室門的尺寸一般為:2.1mx2.7m。(5) 高頻間屏蔽:高頻間一般采用Φ1mm鋼絲制成5mmx5mm 的鋼絲網,或用0.5~0.6mm厚的鋼板進行屏蔽;門、窗用雙層鋼絲網屏蔽;金屬屏蔽層必須接地,以保安全。凡引入屏蔽間的管道,其四周應與屏蔽層焊牢,并采取措施切斷屏蔽層與管道系統的導電連接。電源必須經過濾波器,然后引人屏蔽間,以抑制通過導線傳播干擾。熱處理車間地面載荷取決于生產設備,可參照表22設計。

熱處理廠房的地面材料要求耐熱、耐蝕、耐沖擊,應根據車間生產工藝選擇,見表23。
▼表23 熱處理廠房的地面材料

某些熱處理設備需安裝在地坑或地下室內,較深的地坑應不影響廠房柱子
基礎。若地下構筑物深度超過地下水位時,要作防水處理。
9 車間公用動力和輔助材
料消耗量熱處理車間需消耗各種動力和輔助材料,包括電力、燃料、壓縮空氣、蒸汽、水、油類、鹽類、化學熱處理滲劑及保護加熱氣體等。這些物料的供應、儲存、輸送等設施,多數由工廠動力部門統一設置和管理,有些需在車間內設中間儲存地(或庫)。車間設計時,必須計算其消耗量,提供給有關部門進行設計。根據工廠公用專業設計的需要,車間動力及輔助材料消耗量計算,需提供如下計算項目:(1) 各類設備所需動力的小時最大消耗量,此數據主要作計算該設備支管路、線路之用。(2) 各類設備所需動力的小時平均消耗量,此數據主要作計算該設備全年動力消耗。(4) 匯總的各類動力的車間小時平均消耗量,此數據作計算車間各類動力年消耗量。(6) 匯總的各類動力的車間年消耗量,作為車間各類動力消耗數據,經全廠匯總后作為計算全廠能量消耗的依據。

9.1 電氣
熱處理車間電氣資料包括設備明細表和工藝平面布置圖,以及車間工藝設備年耗電量。固定的用電設備,應在平面布置圖上標出電源進線的位置;當接線點
在地面1m 以上或地面以下時,應注明標高。
移動式用電設備,應注明其工作區域及供電方式(如滑觸線或電纜)。電動葫蘆、梁式和門式起機及電動平板車,應在工藝平面布置圖上,標出滑觸線起止位置和電纜供電點位置。一般用電設備或只帶一般降壓用變壓器的設備,如以電動機為動力的設備及電阻爐等,安裝以kW為單位;帶專用變壓器的設備,如高頻電源、磁粉探傷機等,安裝容量以kVA為單位。當設備需要的電源不是一般常用的交流、380V、50Hz時,應在設備明細表的技術規格欄中注明。存放易燃、可燃或易爆物質的場所及存在易燃易爆的氣體或大量粉塵的場地,應注明儲存物品的名稱、數量或氣體(粉塵)的成分和含量。當工作場地存在腐蝕性氣體、蒸汽或特別潮濕時,以及存在高溫、強烈振動或輻射時,應予注明。熱處理車間工藝設計人員僅需提出車間的照明要求和照明區域等資料,由電氣專業設計人員依據車間特性和照明面積進行計算和設計,統籌考慮工作地的照明、局部照明和事故照明等。熱處理車間用電設備電能耗量的計算方法有:按設備負荷時數計算和按產量計算。由于按設備負荷時數法計算耗電量困難較多,且誤差較大,一般按單位產品產量的耗電指標計算。粗略計算時,可依單位質量工件耗電量指標和車間生產量計算。表24為各熱處理工序加熱1kg金屬所需電能、煤氣、重油概略指標。▼表24 各種熱處理工序加熱1kg金屬所需能源消耗指標

9.2 燃料消耗量計算
熱處理車間燃料消耗量,粗略計算時,可依單位重量工件消耗燃料指標和燃料爐生產量計算(參見6)。詳細計算時,應依據各燃料爐的燃料消耗量進行計算和統計。
19.3 壓縮空氣消耗量計算
熱處理車間壓縮空氣消耗量是以溫度為20℃, 絕對壓力為101.3kPa時的自由空氣占有的體積為標準計算的。(1) 設備小時最大耗氣量。連續穩定用氣設備小時最大耗氣量系指設備開動時的單位時間耗氣量,相當于設備連續開動1h的耗氣量。一般設備每次用氣時間是較短的,可將設備開動時的耗氣量除以開動時間作為設備小時最大耗氣量(m3/h) , 即
式中 q-設備開動時間內的耗氣量(m3) ;
t-設備開動時間(h) 。
(2) 設備小時平均耗氣量。連續穩定用氣設備小時平均耗氣量系指設備以小時平均生產率運行時每小時的耗氣量,其數值等于班耗氣量的小時平均值。設備小時平均耗氣量qp (m3/h)可按下式計算:

(1) 設備小時最大耗氣量。不均衡用氣設備小時最大耗氣量,等于設備在單位時間耗氣量最大的操作過程的耗氣量除以該過程的時間。(2) 設備小時平均耗氣量。不均衡用氣設備的小時平均耗氣量q等于設備以小時平均生產率工作時的小時耗氣量,即:
式中 q0- 每一工作循環的耗氣量(m3) ;
n-在設備平均生產率時的每小時工作循環次數。
氣缸工作用壓縮空氣消耗量,可以依據氣缸的容積、單位時間內起動次數和所用的壓力進行計算。爐門升降氣缸壓縮空氣消耗量可按表 26 提供的數據計算,其
他氣缸推動機械也可參考此表數據估算。
▼表26 爐門升降氣缸壓縮空氣消耗量
用于噴丸、吹干等用途的壓縮空氣消耗量可參考表 27 進行計算。各設備壓縮空氣年消耗量=小時平均消耗量×設備負荷率x設備設計年時基數。車間壓縮空氣年消耗量=各設備年消耗量之和×不正常損耗系數(一般取1.3~1.4) 。
9.4 生產用水量計算
熱處理車間除高、中頻設備冷卻用水外,其余設備對水質無特殊要求,一般生活用水則可滿足要求。熱處理設備用水要求見表28。
▼表28 熱處理設備的用水需求

根據目前各地自來水水質情況,除個別地區外,均可滿足感應加熱設備的用水要求,如達不到標準要求的,可采用蒸餾水,或采用離子交換樹脂軟化水。熱處理工藝操作的耗水量的計算,通常按工序每噸工件水消耗量指標作概略計算,如表29所示。車間用水應盡可能循環使用。
▼表29 按工序每噸工件水消耗量指標

3. 感應加熱設備耗水量
(1) 感應加熱設備冷卻用水量。按設備產品樣本的規定,其耗水量如表30所示。
▼表30 感應加熱設備冷卻用水
(2) 感應淬火用水量。感應淬火用水的常用壓力為200~300kPa, 單位淬火面積單位時間所需淬火冷卻水量指標如表 31所示。
▼表14-31 感應淬火冷卻水需要量

9.5 可控氣氛原料消耗量計算

9.6 蒸汽消耗量計算
熱處理車間使用蒸汽為飽和蒸汽,常用壓力為200~400kPa.蒸汽的比熱容,一般取較低數值,即2100kJ/kg。表33為各類液槽蒸汽消耗量的概略計算指標。

蒸汽小時平均消耗量可按最大消耗量的30%~50%計算。車間蒸汽最大小時消耗量為各設備小時最大消耗量之和乘以同時使用系數。
9.7 輔助材料消耗量計算
熱處理車間輔助材料很多,主要是各種工藝材料,如化學熱處理滲劑、加熱介質等。它們的消耗量常按生產經驗數作概略的估算。當消耗量較大時由公用設計部門設計相應的輸送管道和倉庫等;當消耗量較少時,則在車間內設置堆放地。

10 熱處理車間的職業安全衛生與環境保護
10.1 職業安全衛生
熱處理車間是一個潛在觸電、爆炸、灼傷、火災和毒害危險的工作場所。因此,在車間設計過程中,應嚴格按照職業安全衛生和環境影響報告書的要求進行設計和配置。(1) 車間設計中有關勞動安全所采取的主要防范措施和設施(如防火、防爆、防震、防塵、防毒、防腐蝕、設備的安全間距及防機械傷害、降暑降溫、防噪聲、防振動、防輻射、防電氣傷害等)。(2) 車間設計中有關職業衛生所采取的主要措施和配置的設施,包括工作場所辦公室、生產衛生室(浴室、存放室、盥洗室、洗衣房等)、生活室(休息室、食堂、廁所)、婦女衛生室等,具體按 GBZ1-2002《工業企業設計衛生標準》中之第6條執行。(3) 匯總由工藝本身自行處理所需的主要設備及投資(同一治理項目在環保投資中已計列的在職業安全衛生投資中不再重復計算)。
10.2 環境保護
熱處理車間存在著對人身和環境有害的物質,主要有廢氣(如二氧化硫、硫化氫、氧化氮、一氧化碳)、廢水(含堿、油、鹽廢水)、粉塵、放射性物質以及噪聲等環境污染源。車間。設計時,必須根據建設項目環境影響報告書的要求,采取可靠的治理措施。(1) 首先說明工藝及所選用工藝設備本身所具有的環保設施,如廢水廢氣治理、吸塵、隔噪等,說明所選屬綠色環保型產品的工藝設備,對環境少、無污染。
(2) 說明對車間環境造成污染的污染源、污染物名稱、濃度及排放量、排放方式(連續排放、間歇排放或定期排放)。
(3) 簡述對產生的廢水、廢氣、粉塵、噪聲、振動、廢棄物的治理措施,達到效果及綜合利用情況,具體治理措施由環境保護專篇論述。
(4) 匯總由工藝本身自行治理部分所需的主要設備及環境保護投資,必要時亦可列表說明。

11 節能與合理用能
11.1節能與合理用能的考慮
在進行熱處理車間設計時,要充分慮采用合理用能的新技術、新工藝、新材料、新設備,在能源選用、余熱回收及綜合利用等方面所采取的具體措施,以及在能源管理和監測等方面所采取的措施及效果。
11.2能耗
熱處理車間所需各種能源的消耗量列入能耗量表,見表 34。

12 熱處理車間人員定額
熱處理車間工作人員包括生產工人、輔助工人、工程技術人員、管理人員和服務人員。
12.1人員分類
(1) 生產工人是指直接從事熱處理工藝及設備操作的工人。(2) 輔助工人是指生產工人以外,直接為熱處理生產服務的工人,如熱處理件準備工、電工、鉗工、儀表工、起重運輸工等。(5) 服務人員是指服務于生產和職工生活福利的人員,如清潔工等。
12.2 生產工人數量
每類設備所需生產工人數量計算如下:基本生產工人數=設備年負荷時數x每臺設備所需工人數/工人設計年時基數車間基本生產工人計算指標見表35。
▼表35車間基本生產工人計算指標
12.3 車間其他人員計算
車間其他人員的計算通常以基本生產工人為基數,按指標作概略計
算。表36為車間其他人員計算的指標。
▼表36 車間其他人員的計算指標


13 熱處理車間工藝投資及主要數據和技術經濟指標
13.1 工藝投資概(估)算
13.2 主要數據及技術經濟指標

14 需要說明的主要問題及建議
最后需說明,在熱處理車間設計中,由于客觀條件種種限制(如資金來源、車間面積、產品條件等)而尚未解決的問題,并提出解決遺留問題的方法及建議。
(本平臺"常州精密鋼管博客網"的部分圖文來自網絡轉載,轉載目的在于傳遞更多技術信息。我們尊重原創,版權歸原作者所有,若未能找到作者和出處望請諒解,敬請聯系主編微信號:steel_tube,進行刪除或付稿費,多謝!)